捷报频传传佳音,硕果盈枝贺新程!在学院悉心培育与全体师生共同努力下,yl23455永利集团2026届毕业生考研工作再创佳绩,交出亮眼答卷。
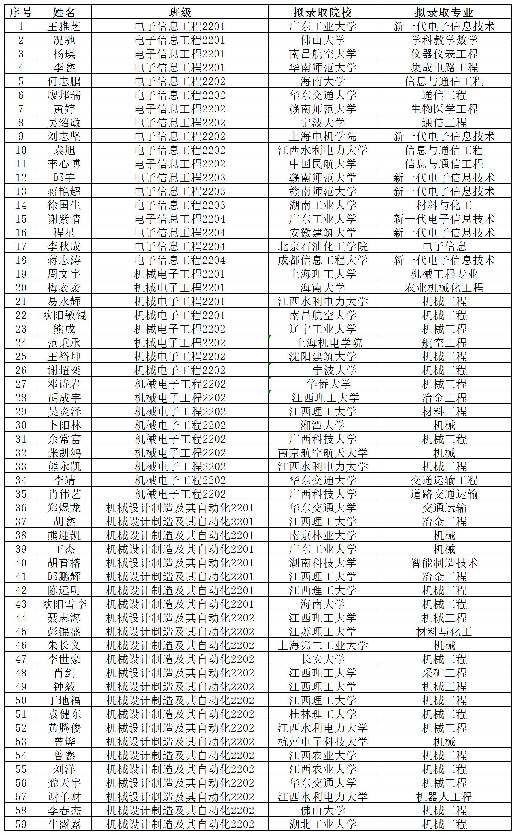
截至4月30日,学院2026届毕业生共有59名同学考研上岸,拟录取率16.4%,其中9名学子顺利考入211工程、双一流建设高校,实现质量的提升,充分展现了机电学子扎实的专业功底与昂扬向上的精神风貌。
近年来,学院持续搭建考研帮扶平台,开展备考指导、经验分享、暖心助力等系列活动,为学子圆梦深造保驾护航。优异成绩的取得,是同学们日夜兼程、笃志勤学的汗水结晶,是老师们悉心指导、全力护航的辛勤付出,也是学院坚持立德树人、狠抓学风建设、深耕人才培养质量的有力体现。
yl23455永利集团2026届学生考研拟录取情况

yl23455永利集团
2026年4月30日